Официальное опубликование правовых актов
ОФИЦИАЛЬНОЕ ОПУБЛИКОВАНИЕ
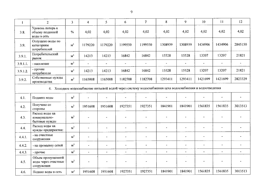
Постановление Региональной энергетической комиссии Кузбасса от 24.11.2022 № 420
"О внесении изменений в постановление региональной энергетической комиссии Кемеровской области от 18.12.2018 № 573 "Об утверждении производственной программы в сфере холодного водоснабжения, водоотведения и об установлении тарифов на питьевую воду, техническую воду, водоотведение АО "ЕВРАЗ Объединенный Западно-Сибирский металлургический комбинат" (г. Новокузнецк)" в части 2023 года"
Номер опубликования: 4201202212010032
Дата опубликования: 01.12.2022
Страница №9 из 44:
Увеличить