Официальное опубликование правовых актов
ОФИЦИАЛЬНОЕ ОПУБЛИКОВАНИЕ
Постановление Региональной энергетической комиссии Кузбасса от 24.11.2022 № 396
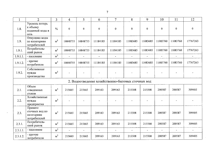
"О внесении изменений в постановление региональной энергетической комиссии Кемеровской области от 16.10.2018 № 262 "Об утверждении производственной программы в сфере холодного водоснабжения, водоотведения и об установлении тарифов на техническую воду, водоотведение хозяйственно-бытовых сточных вод, транспортировку сточных вод КАО "Азот" (Кемеровский городской округ)"
Номер опубликования: 4201202212010028
Дата опубликования: 01.12.2022
Страница №7 из 24:
Увеличить