Официальное опубликование правовых актов
ОФИЦИАЛЬНОЕ ОПУБЛИКОВАНИЕ
Постановление Региональной энергетической комиссии Кузбасса от 24.11.2022 № 440
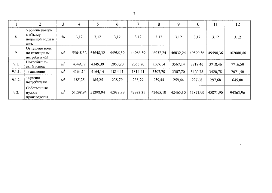
"О внесении изменений в постановление региональной энергетической комиссии Кемеровской области от 18.10.2018 № 273 "Об утверждении производственной программы в сфере холодного водоснабжения и об установлении тарифов на питьевую воду АО "Мариинский ликеро-водочный завод" (Мариинский муниципальный округ)"
Номер опубликования: 4201202212010022
Дата опубликования: 01.12.2022
Страница №7 из 17:
Увеличить