Официальное опубликование правовых актов
ОФИЦИАЛЬНОЕ ОПУБЛИКОВАНИЕ
Постановление Региональной энергетической комиссии Кузбасса от 24.11.2022 № 391
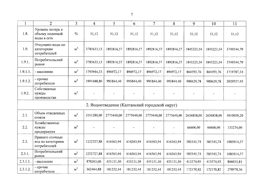
"О внесении изменений в постановление региональной энергетической комиссии Кемеровской области от 30.08.2019 № 237 "Об утверждении производственной программы в сфере холодного водоснабжения, водоотведения и об установлении тарифов на питьевую воду, водоотведение ООО "Водоканал" (Калтанский городской округ, Осинниковский городской округ)"
Номер опубликования: 4201202212010019
Дата опубликования: 01.12.2022
Страница №7 из 32:
Увеличить