Официальное опубликование правовых актов
ОФИЦИАЛЬНОЕ ОПУБЛИКОВАНИЕ
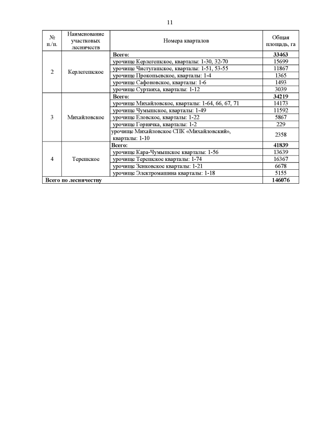
Приказ Департамента лесного комплекса Кузбасса от 21.11.2022 № 01-06/2221
"О внесении изменений в приказ департамента лесного комплекса Кемеровской области от 20.11.2018 № 01-06/2725 "Об утверждении лесохозяйственных регламентов"
Номер опубликования: 4201202211280003
Дата опубликования: 28.11.2022
Страница №11 из 260:
Увеличить