Официальное опубликование правовых актов
ОФИЦИАЛЬНОЕ ОПУБЛИКОВАНИЕ
Постановление Региональной энергетической комиссии Кузбасса от 31.10.2022 № 333
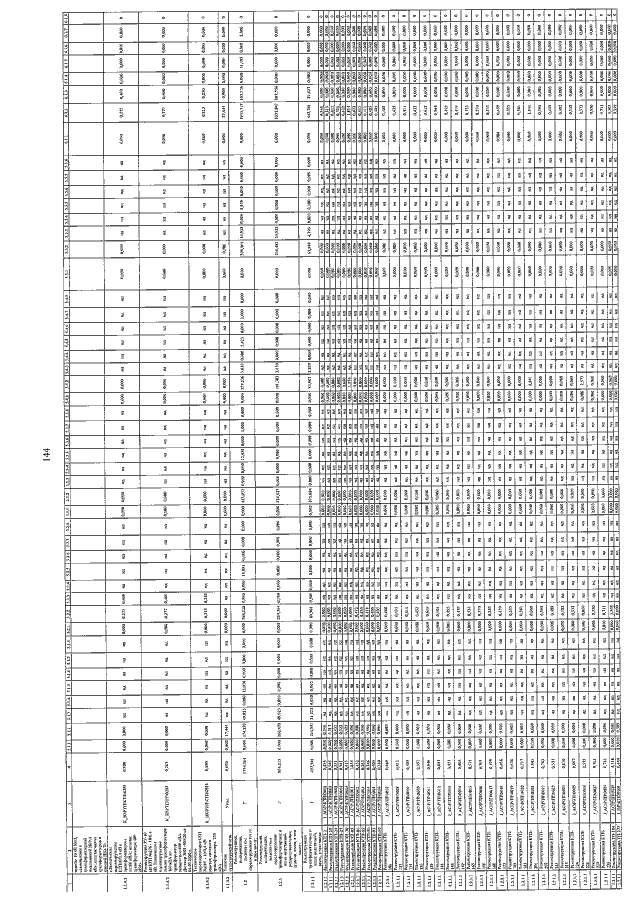
"О внесении изменений в постановление региональной энергетической комиссии Кемеровской области от 31.10.2019 № 394 "Об утверждении инвестиционной программы ООО "Кузбасская энергосетевая компания" (г. Кемерово) на период 2020 - 2024 гг."
Номер опубликования: 4201202211070029
Дата опубликования: 07.11.2022
Страница №144 из 344:
Увеличить