Официальное опубликование правовых актов
ОФИЦИАЛЬНОЕ ОПУБЛИКОВАНИЕ
Постановление Региональной энергетической комиссии Кузбасса от 31.12.2020 № 844
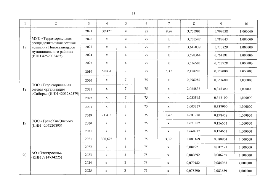
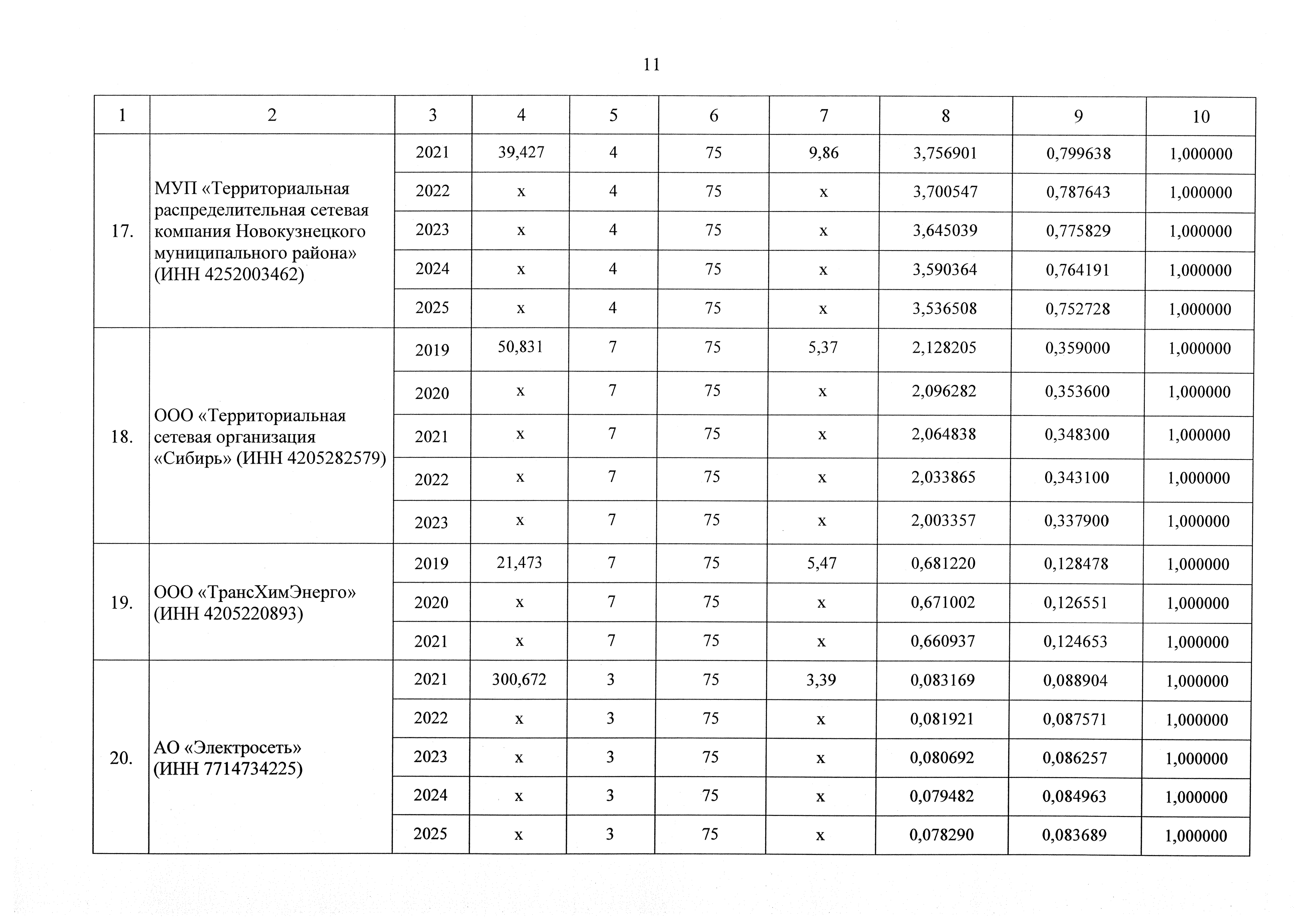
"О внесении изменений в постановление региональной энергетической комиссии Кемеровской области от 31.12.2016 № 753 "Об установлении долгосрочных параметров регулирования и необходимой валовой выручки на долгосрочный период регулирования для территориальных сетевых организаций Кемеровской области"
Номер опубликования: 4201202101050016
Дата опубликования: 05.01.2021
Страница №11 из 20: