Официальное опубликование правовых актов
ОФИЦИАЛЬНОЕ ОПУБЛИКОВАНИЕ
Постановление Региональной энергетической комиссии Кузбасса от 17.11.2020 № 364
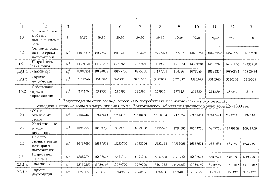
"О внесении изменений в постановление региональной энергетической комиссии Кемеровской области от 31.12.2018 № 777 "Об утверждении производственной программы в сфере холодного водоснабжения, водоотведения и об установлении тарифов на питьевую воду, водоотведение ОАО "Северо-Кузбасская энергетическая компания" (г. Кемерово)" в части 2021 года"
Номер опубликования: 4201202011260013
Дата опубликования: 26.11.2020
Страница №8 из 24:
Увеличить