Официальное опубликование правовых актов
ОФИЦИАЛЬНОЕ ОПУБЛИКОВАНИЕ
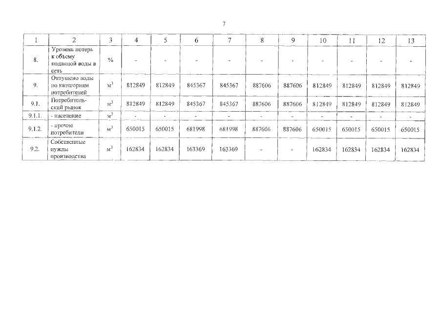
Постановление Региональной энергетической комиссии Кузбасса от 03.09.2020 № 201
"О внесении изменений в постановление региональной энергетической комиссии Кемеровской области от 02.10.2018 № 230 "Об утверждении производственной программы в сфере холодного водоснабжения питьевой водой и об установлении тарифов на питьевую воду АО "Славино" (Новокузнецкий муниципальный район)" в части 2021 года"
Номер опубликования: 4201202009040003
Дата опубликования: 04.09.2020
Страница №7 из 17:
Увеличить