Официальное опубликование правовых актов
ОФИЦИАЛЬНОЕ ОПУБЛИКОВАНИЕ
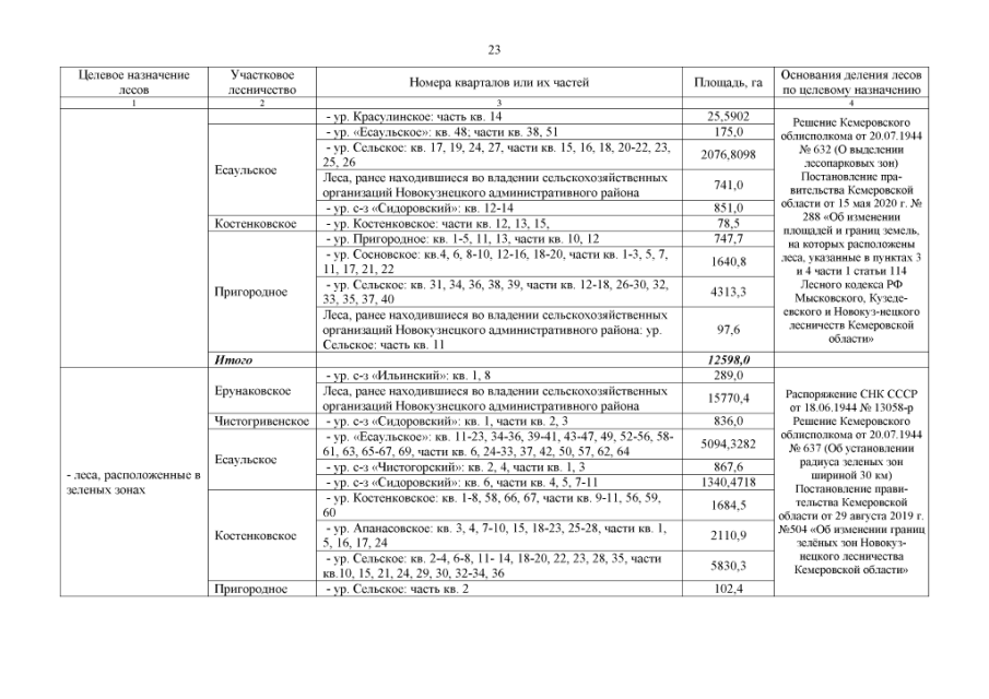
Приказ Департамента лесного комплекса Кузбасса от 27.08.2020 № 01-06/1469-2
"О внесении изменений в приказ департамента лесного комплекса от 20.11.2018 № 01-06/2725 "Об утверждении лесохозяйственных регламентов"
Номер опубликования: 4201202009030005
Дата опубликования: 03.09.2020
Страница №23 из 251:
Увеличить