Официальное опубликование правовых актов
ОФИЦИАЛЬНОЕ ОПУБЛИКОВАНИЕ
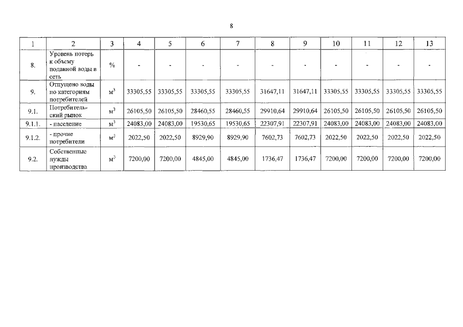
Постановление Региональной энергетической комиссии Кузбасса от 11.06.2020 № 96
"О внесении изменений в постановление региональной энергетической комиссии Кемеровской области от 25.09.2018 № 214 "Об утверждении производственной программы в сфере холодного водоснабжения и об установлении тарифов на питьевую воду ФГКУ комбинат "Алтай" Росрезерва (Мариинский муниципальный район)" в части 2021 года"
Номер опубликования: 4201202006150002
Дата опубликования: 15.06.2020
Страница №8 из 18:
Увеличить