Официальное опубликование правовых актов
ОФИЦИАЛЬНОЕ ОПУБЛИКОВАНИЕ
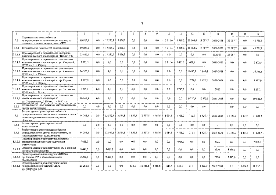
Постановление региональной энергетической комиссии Кемеровской области от 05.12.2019 № 536
"Об утверждении инвестиционной программы ООО "Тайгинское ВКХ" в сфере холодного водоснабжения и водоотведения Тайгинского городского округа на 2019-2028 годы"
Номер опубликования: 4201201912090010
Дата опубликования: 09.12.2019
Страница №7 из 11:
Увеличить