Официальное опубликование правовых актов
ОФИЦИАЛЬНОЕ ОПУБЛИКОВАНИЕ
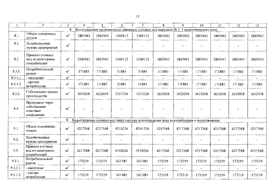
Постановление региональной энергетической комиссии Кемеровской области от 08.10.2019 № 298
"О внесении изменений в постановление региональной энергетической комиссии Кемеровской области от 18.12.2018 № 573 "Об утверждении производственной программыв сфере холодного водоснабжения, водоотведенияи об установлении тарифов на питьевую воду, техническую воду, водоотведение АО "ЕВРАЗ Объединенный Западно-Сибирский металлургический комбинат" (г. Новокузнецк)" в части 2020 года"
Номер опубликования: 4201201910090007
Дата опубликования: 09.10.2019
Страница №13 из 42:
Увеличить