Официальное опубликование правовых актов
ОФИЦИАЛЬНОЕ ОПУБЛИКОВАНИЕ
Постановление региональной энергетической комиссии Кемеровской области от 24.09.2019 № 287
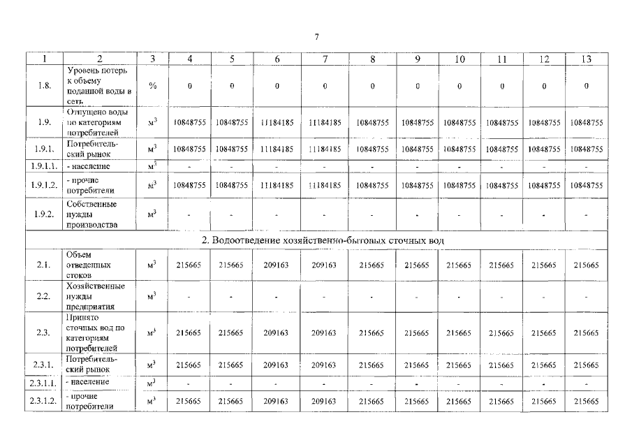
"О внесении изменений в постановление региональной энергетической комиссии Кемеровской области от 16.10.2018 № 262 "Об утверждении производственной программы в сфере холодного водоснабжения, водоотведения и об установлении тарифов на техническую воду, водоотведение хозяйственно-бытовых сточных вод, транспортировку питьевой воды, транспортировку сточных вод КАО "Азот" (г. Кемерово)" в части 2020 года"
Номер опубликования: 4201201909250003
Дата опубликования: 25.09.2019
Страница №7 из 25:
Увеличить