Официальное опубликование правовых актов
ОФИЦИАЛЬНОЕ ОПУБЛИКОВАНИЕ
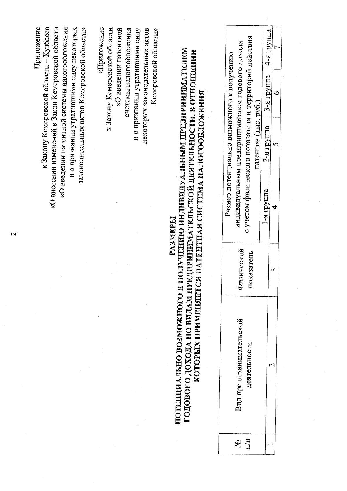
Закон Кемеровской области - Кузбасса от 27.11.2025 № 146-ОЗ
"О внесении изменений в Закон Кемеровской области "О введении патентной системы налогообложения и о признании утратившими силу некоторых законодательных актов Кемеровской области"
Номер опубликования: 4200202512010009
Дата опубликования: 01.12.2025
Страница №2 из 21:
Увеличить