Официальное опубликование правовых актов
ОФИЦИАЛЬНОЕ ОПУБЛИКОВАНИЕ
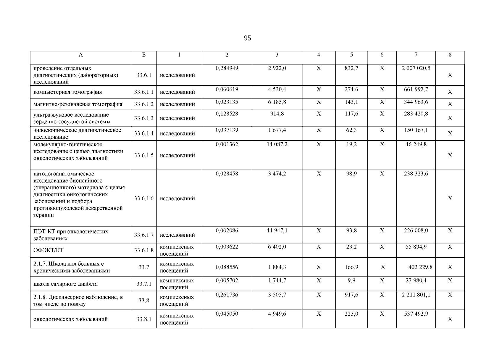
Постановление Правительства Кемеровской области - Кузбасса от 01.10.2025 № 601
"О внесении изменений в постановление Правительства Кемеровской области – Кузбасса от 28.12.2024 № 852 "Об утверждении Территориальной программы государственных гарантий бесплатного оказания гражданам медицинской помощи на 2025 год и на плановый период 2026 и 2027 годов"
Номер опубликования: 4200202510060001
Дата опубликования: 06.10.2025
Страница №95 из 129:
Увеличить