Официальное опубликование правовых актов
ОФИЦИАЛЬНОЕ ОПУБЛИКОВАНИЕ
Постановление Правительства Кемеровской области - Кузбасса от 04.06.2025 № 346
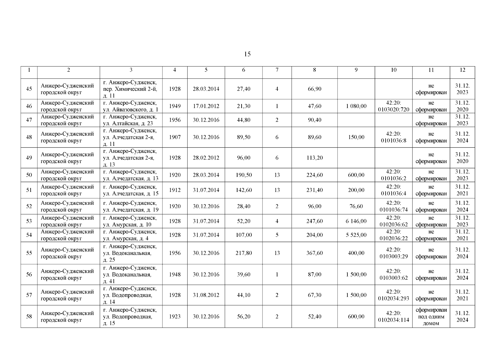
"О внесении изменений в постановление Коллегии Администрации Кемеровской области от 29.03.2019 № 199 "Об утверждении региональной адресной программы "Переселение граждан из многоквартирных домов, признанных до 01.01.2017 в установленном порядке аварийными и подлежащими сносу или реконструкции" на 2019—2025 годы"
Номер опубликования: 4200202506090004
Дата опубликования: 09.06.2025
Страница №15 из 183:
Увеличить