Официальное опубликование правовых актов
ОФИЦИАЛЬНОЕ ОПУБЛИКОВАНИЕ
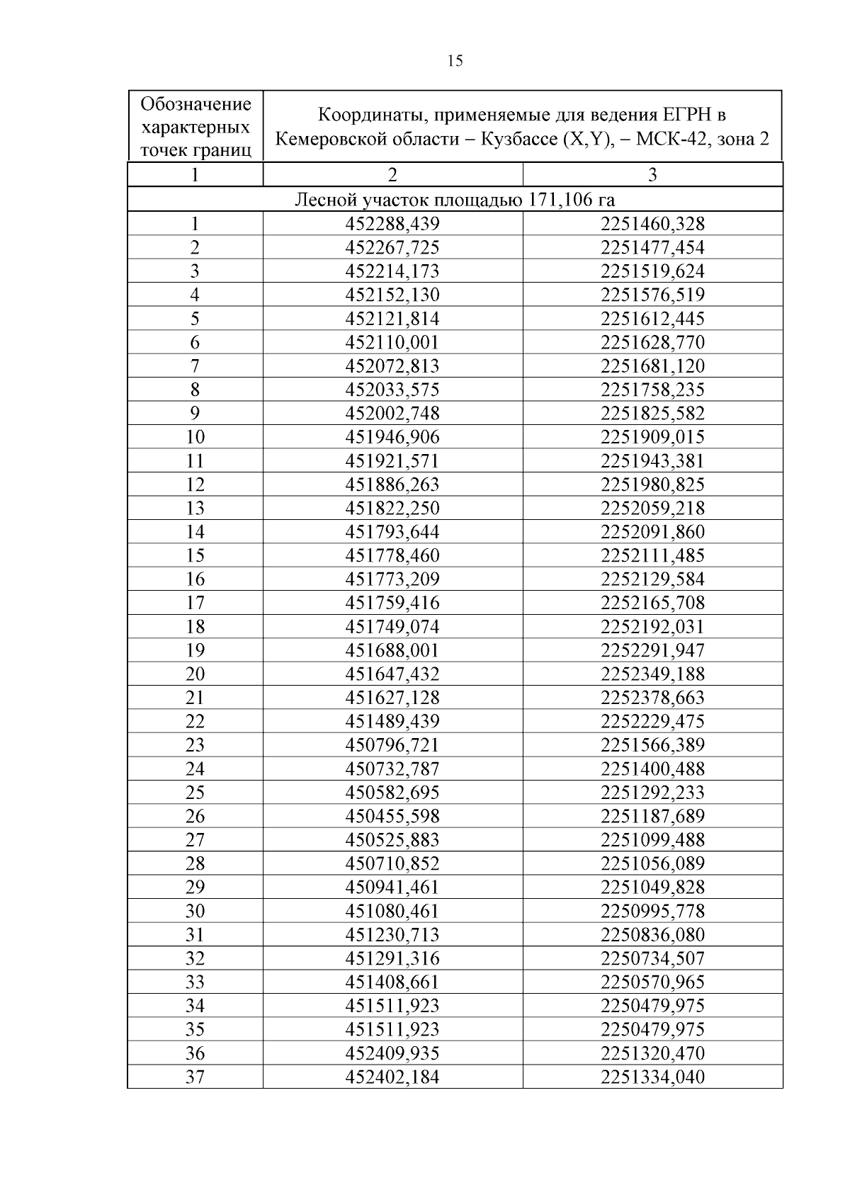
Постановление Правительства Кемеровской области - Кузбасса от 08.04.2025 № 209
"Об изменении площадей и границ земель, на которых расположены леса, указанные в пункте 3 части 1 статьи 114 Лесного кодекса Российской Федерации, Мысковского лесничества Кемеровской области — Кузбасса"
Номер опубликования: 4200202504110001
Дата опубликования: 11.04.2025
Страница №15 из 16:
Увеличить