Официальное опубликование правовых актов
ОФИЦИАЛЬНОЕ ОПУБЛИКОВАНИЕ
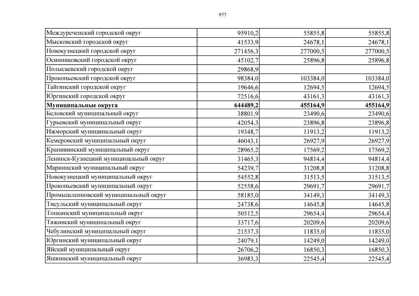
Закон Кемеровской области - Кузбасса от 27.11.2024 № 112-ОЗ
"О внесении изменений в Закон Кемеровской области – Кузбасса "Об областном бюджете на 2024 год и на плановый период 2025 и 2026 годов"
Номер опубликования: 4200202411290001
Дата опубликования: 29.11.2024
Страница №977 из 1007: