Официальное опубликование правовых актов
ОФИЦИАЛЬНОЕ ОПУБЛИКОВАНИЕ
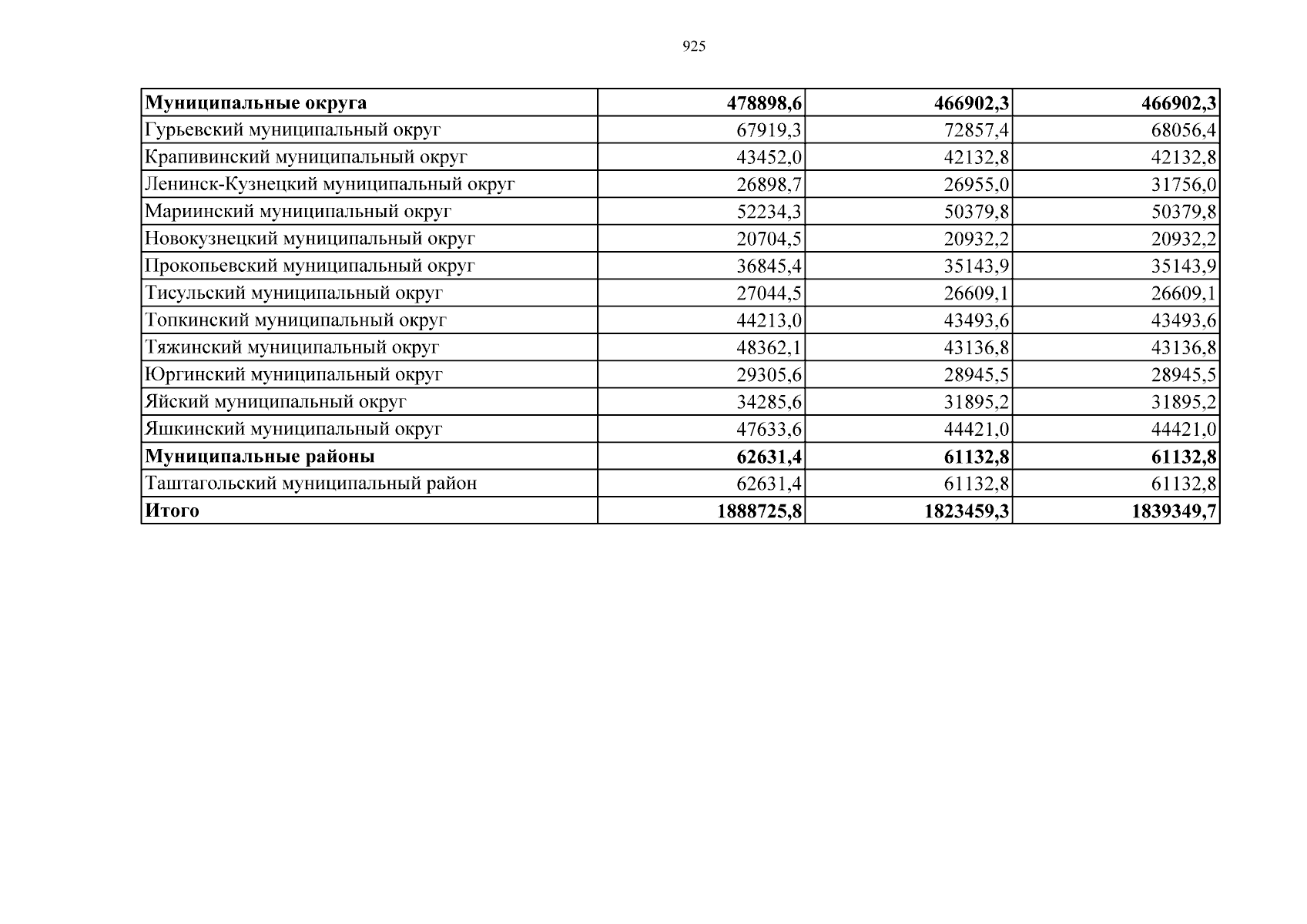
Закон Кемеровской области - Кузбасса от 20.09.2024 № 85-ОЗ
"О внесении изменений в Закон Кемеровской области – Кузбасса "Об областном бюджете на 2024 год и на плановый период 2025 и 2026 годов"
Номер опубликования: 4200202409240001
Дата опубликования: 24.09.2024
Страница №925 из 1001: