Официальное опубликование правовых актов
ОФИЦИАЛЬНОЕ ОПУБЛИКОВАНИЕ
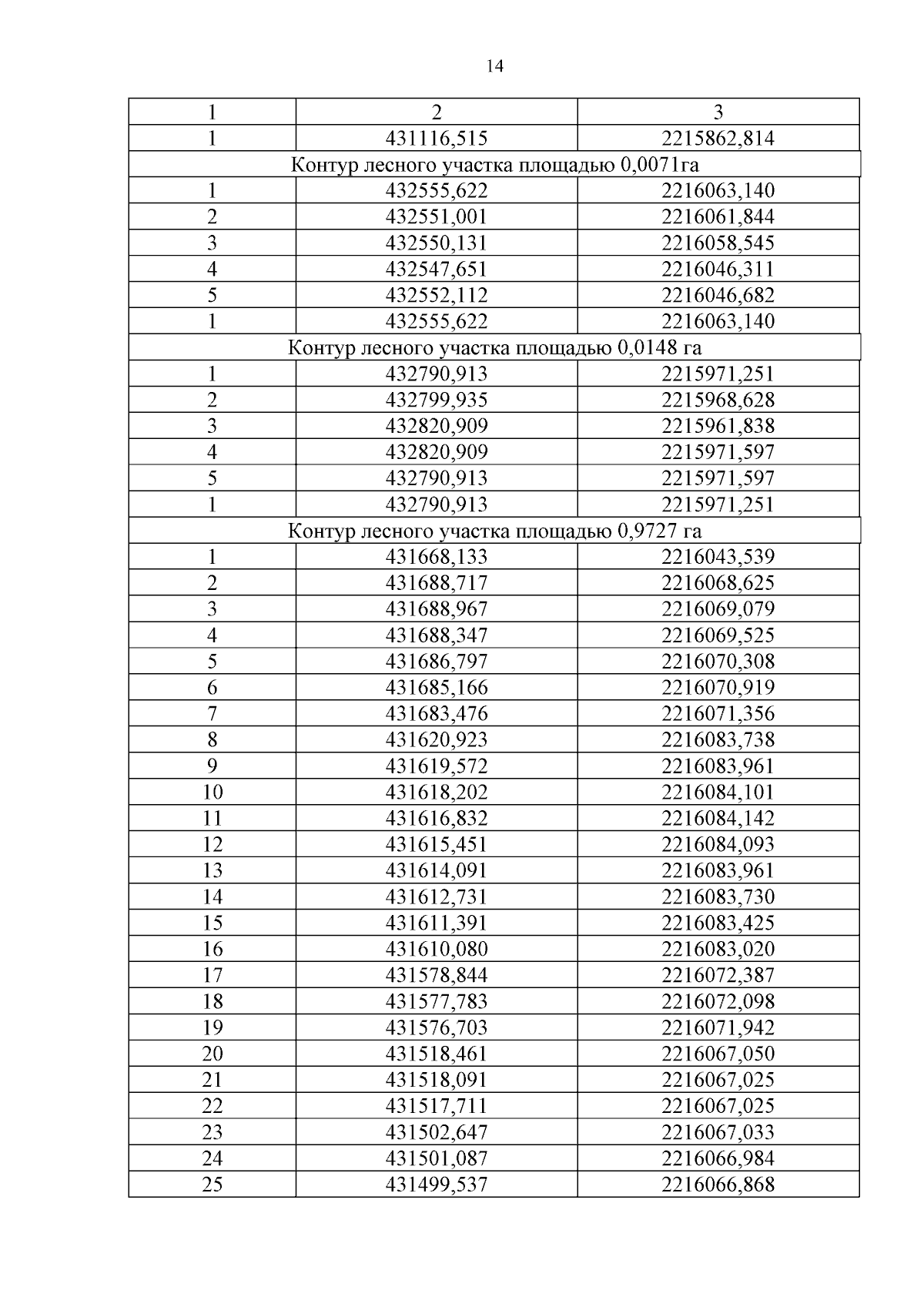
Постановление Правительства Кемеровской области - Кузбасса от 23.05.2024 № 310
"Об изменении площадей и границ земель, на которых расположены леса, указанные в пунктах 3 и 4 части 1 статьи 114 Лесного кодекса Российской Федерации, Новокузнецкого лесничества Кемеровской области — Кузбасса"
Номер опубликования: 4200202405270010
Дата опубликования: 27.05.2024
Страница №14 из 21:
Увеличить