Официальное опубликование правовых актов
ОФИЦИАЛЬНОЕ ОПУБЛИКОВАНИЕ
Постановление Правительства Кемеровской области - Кузбасса от 29.12.2023 № 905
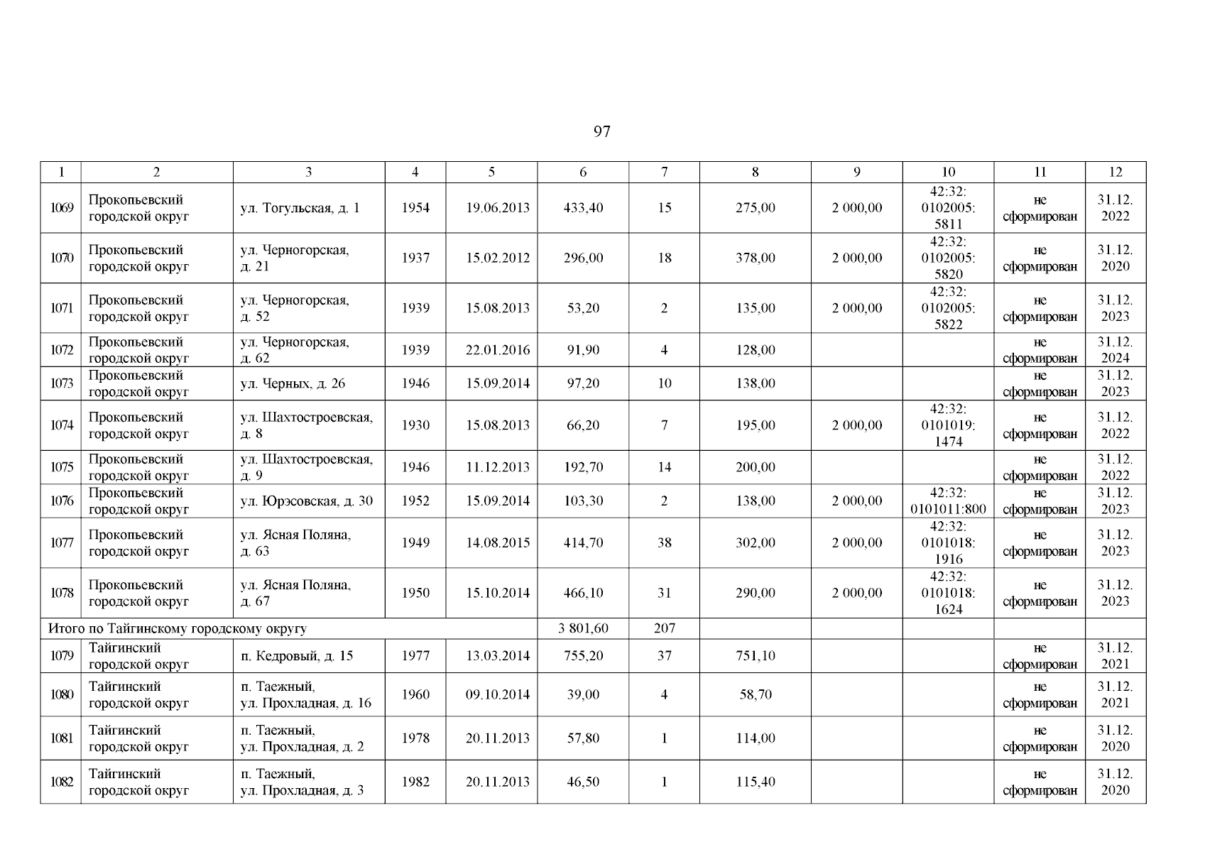
"О внесении изменений в постановление Коллегии Администрации Кемеровской области от 29.03.2019 № 199 "Об утверждении региональной адресной программы "Переселение граждан из многоквартирных домов, признанных до 01.01.2017 в установленном порядке аварийными и подлежащими сносу или реконструкции" на 2019—2024 годы"
Номер опубликования: 4200202312290007
Дата опубликования: 29.12.2023
Страница №97 из 154:
Увеличить