Официальное опубликование правовых актов
ОФИЦИАЛЬНОЕ ОПУБЛИКОВАНИЕ
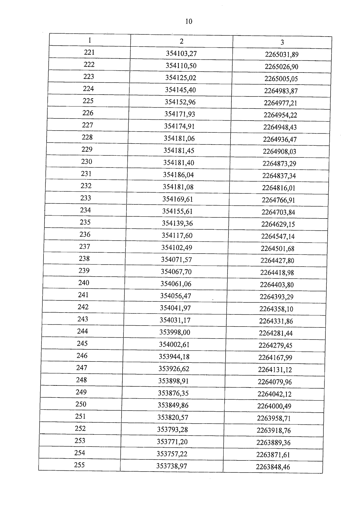
Закон Кемеровской области - Кузбасса от 21.12.2023 № 134-ОЗ
"О внесении изменений в Закон Кемеровской области "О перераспределении отдельных полномочий в области градостроительной деятельности и земельных отношений между органами местного самоуправления Шерегешского городского поселения Таштагольского муниципального района Кемеровской области – Кузбасса и органами государственной власти Кемеровской области – Кузбасса"
Номер опубликования: 4200202312250008
Дата опубликования: 25.12.2023
Страница №10 из 24:
Увеличить