Официальное опубликование правовых актов
ОФИЦИАЛЬНОЕ ОПУБЛИКОВАНИЕ
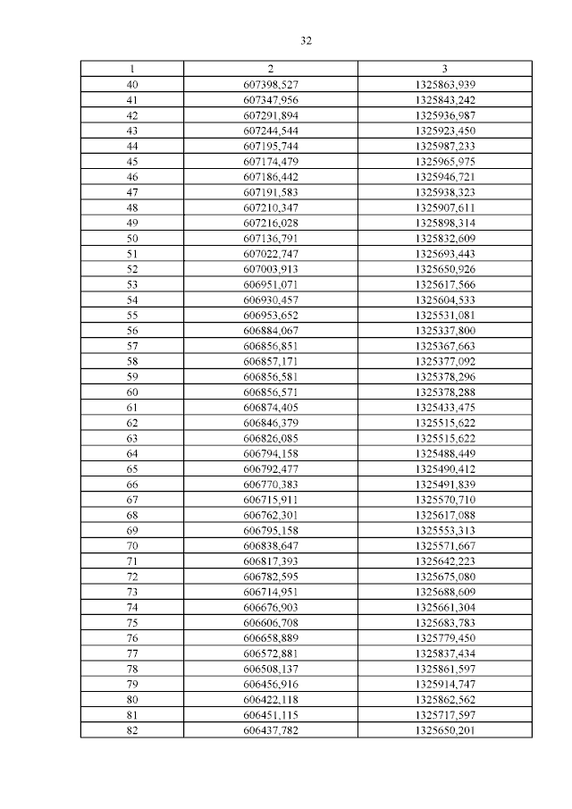
Постановление Правительства Кемеровской области - Кузбасса от 14.07.2023 № 465
"Об изменении площадей и границ земель, на которых расположены леса, указанные в пункте 3 части 1 статьи 114 Лесного кодекса Российской Федерации, Кемеровского и Юргинского лесничеств Кемеровской области - Кузбасса"
Номер опубликования: 4200202307180008
Дата опубликования: 18.07.2023
Страница №32 из 185:
Увеличить