Официальное опубликование правовых актов
ОФИЦИАЛЬНОЕ ОПУБЛИКОВАНИЕ
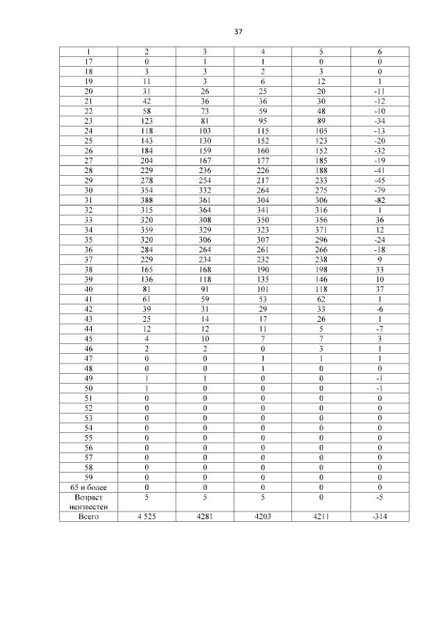
Постановление Правительства Кемеровской области - Кузбасса от 30.06.2023 № 436
"Об утверждении региональной программы Кемеровской области – Кузбасса по повышению рождаемости на период 2023-2025 годов"
Номер опубликования: 4200202307040010
Дата опубликования: 04.07.2023
Страница №37 из 86: