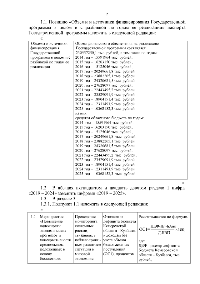
Постановление Правительства Кемеровской области - Кузбасса от 22.06.2023 № 405
"О внесении изменений в постановление Коллегии Администрации Кемеровской области от 08.10.2013 № 421 "Об утверждении государственной программы Кемеровской области — Кузбасса "Управление государственными финансами Кузбасса" на 2014 — 2025 годы"
"О внесении изменений в постановление Коллегии Администрации Кемеровской области от 08.10.2013 № 421 "Об утверждении государственной программы Кемеровской области — Кузбасса "Управление государственными финансами Кузбасса" на 2014 — 2025 годы"
Номер опубликования: 4200202306260008
Дата опубликования:
26.06.2023
