Официальное опубликование правовых актов
ОФИЦИАЛЬНОЕ ОПУБЛИКОВАНИЕ
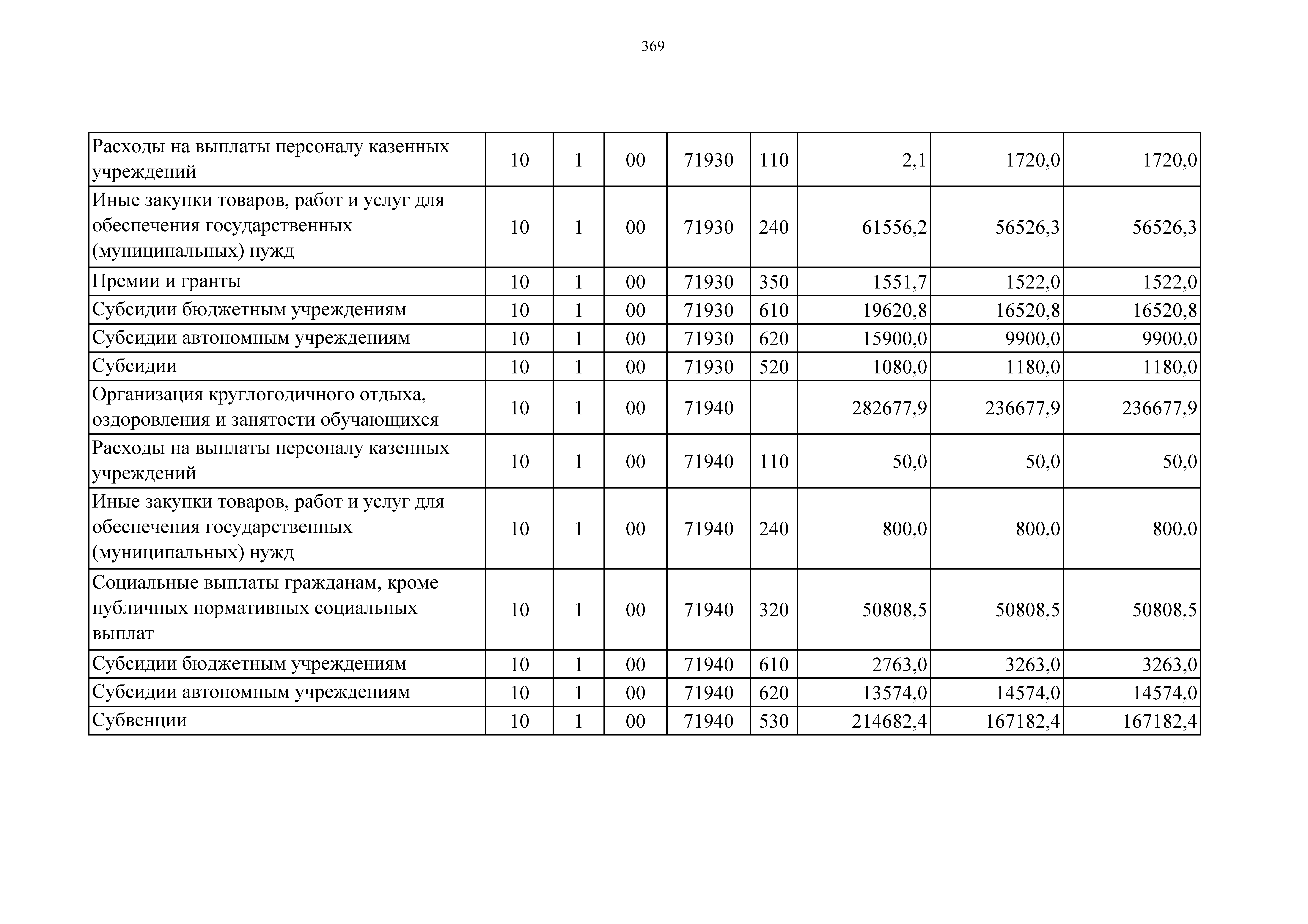
Закон Кемеровской области - Кузбасса от 21.06.2023 № 49-ОЗ
"О внесении изменений в Закон Кемеровской области – Кузбасса "Об областном бюджете на 2023 год и на плановый период 2024 и 2025 годов"
Номер опубликования: 4200202306260001
Дата опубликования: 26.06.2023
Страница №369 из 1088: