Официальное опубликование правовых актов
ОФИЦИАЛЬНОЕ ОПУБЛИКОВАНИЕ
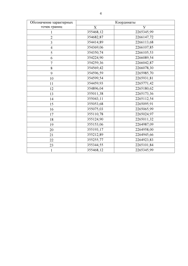
Постановление Правительства Кемеровской области - Кузбасса от 28.03.2023 № 185
"О комплексном развитии незастроенной территории спортивно-туристического комплекса "Шерегеш"
Номер опубликования: 4200202303310019
Дата опубликования: 31.03.2023
Страница №4 из 9:
Увеличить