Официальное опубликование правовых актов
ОФИЦИАЛЬНОЕ ОПУБЛИКОВАНИЕ
Постановление Правительства Кемеровской области - Кузбасса от 13.10.2022 № 687
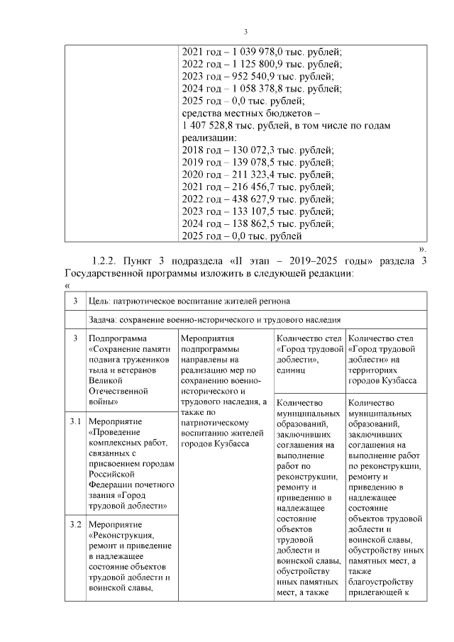
"О внесении изменений в постановление Коллегии Администрации Кемеровской области от 06.09.2017 № 471 "Об утверждении государственной программы Кемеровской области — Кузбасса "Формирование современной городской среды Кузбасса" на 2018 - 2025 годы"
Номер опубликования: 4200202210180001
Дата опубликования: 18.10.2022
Страница №3 из 27:
Увеличить