Официальное опубликование правовых актов
ОФИЦИАЛЬНОЕ ОПУБЛИКОВАНИЕ
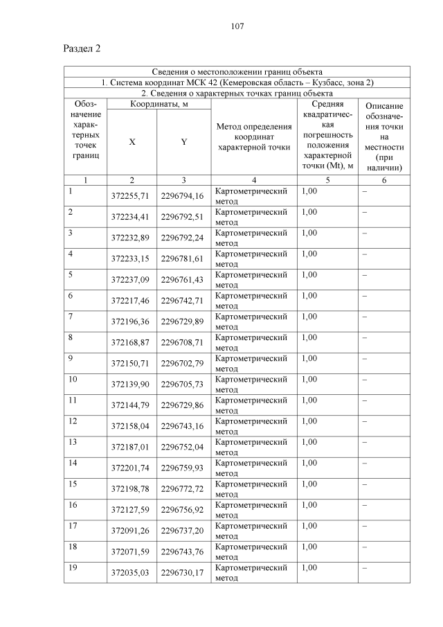
Постановление Правительства Кемеровской области - Кузбасса от 08.04.2022 № 199
"О внесении изменений в постановление Коллегии Администрации Кемеровской области от 05.06.2017 № 270 "Об утверждении генерального плана Шерегешского городского поселения"
Номер опубликования: 4200202204130002
Дата опубликования: 13.04.2022
Страница №107 из 156:
Увеличить