Официальное опубликование правовых актов
ОФИЦИАЛЬНОЕ ОПУБЛИКОВАНИЕ
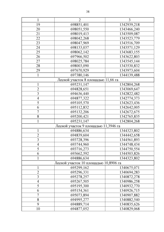
Постановление Правительства Кемеровской области - Кузбасса от 07.04.2022 № 193
"Об изменении площадей и границ земель, на которых расположены леса, указанные в пункте 3 части 1 статьи 114 Лесного кодекса Российской Федерации, Яйского лесничества Кемеровской области - Кузбасса"
Номер опубликования: 4200202204120005
Дата опубликования: 12.04.2022
Страница №38 из 86:
Увеличить