Официальное опубликование правовых актов
ОФИЦИАЛЬНОЕ ОПУБЛИКОВАНИЕ
Закон Кемеровской области - Кузбасса от 16.02.2022 № 14-ОЗ "О внесении изменений в Закон Кемеровской области – Кузбасса "Об областном бюджете на 2022 годи на плановый период 2023 и 2024 годов"
Номер опубликования: 4200202202210003
Дата опубликования: 21.02.2022
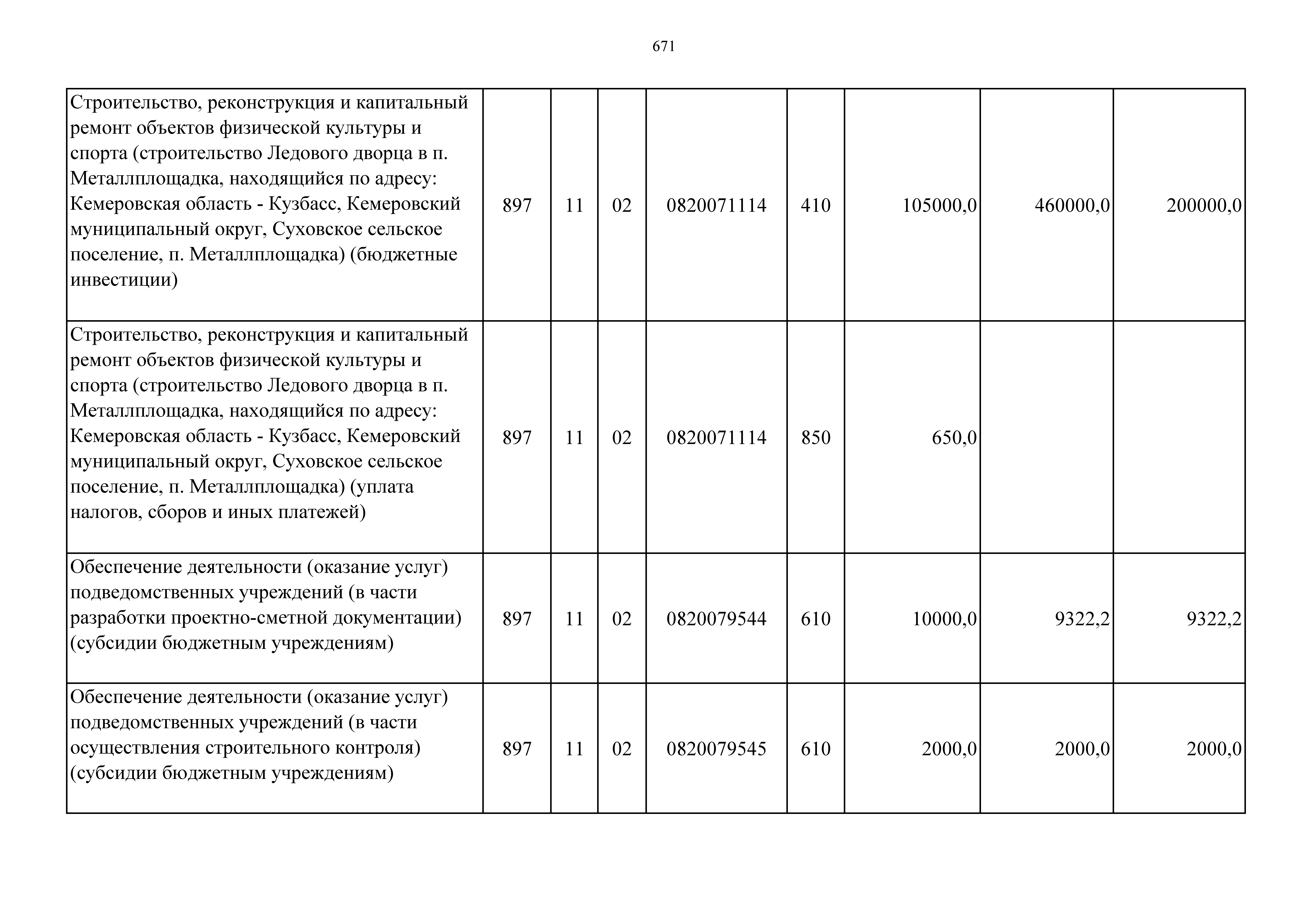
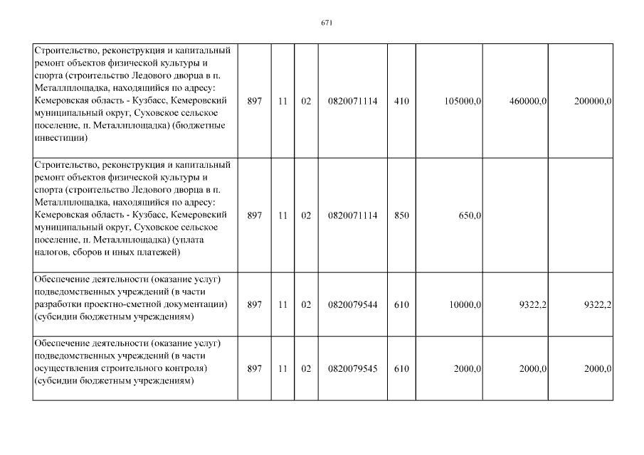
Страница №671 из 779: