Официальное опубликование правовых актов
ОФИЦИАЛЬНОЕ ОПУБЛИКОВАНИЕ
Закон Кемеровской области - Кузбасса от 02.06.2021
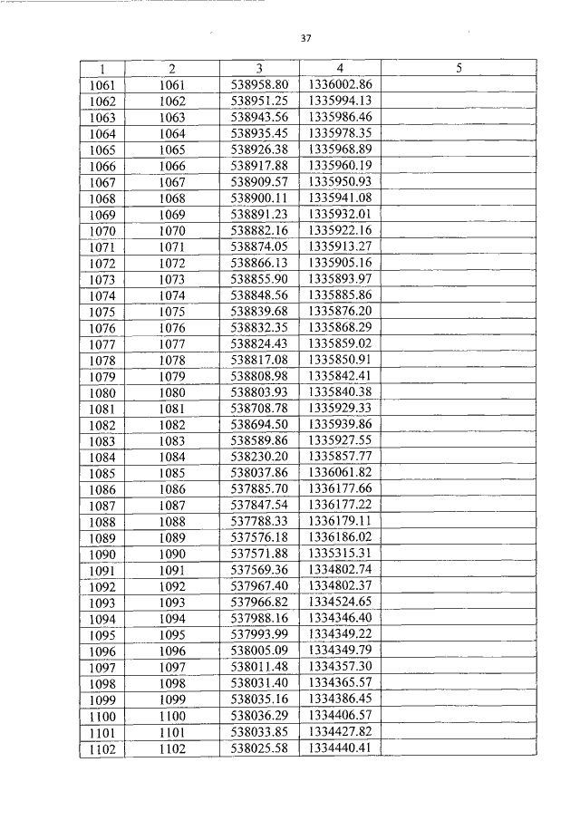
№ 48-ОЗ "О внесении изменения в приложение 1 к Закону Кемеровской области "О статусе и границах муниципальных образований" в части уточнения картографического и дополнения координатного описаний местоположения границы Ленинск-Кузнецкого городского округа"
Номер опубликования: 4200202106070001
Дата опубликования: 07.06.2021
Страница №37 из 61:
Увеличить