Официальное опубликование правовых актов
ОФИЦИАЛЬНОЕ ОПУБЛИКОВАНИЕ
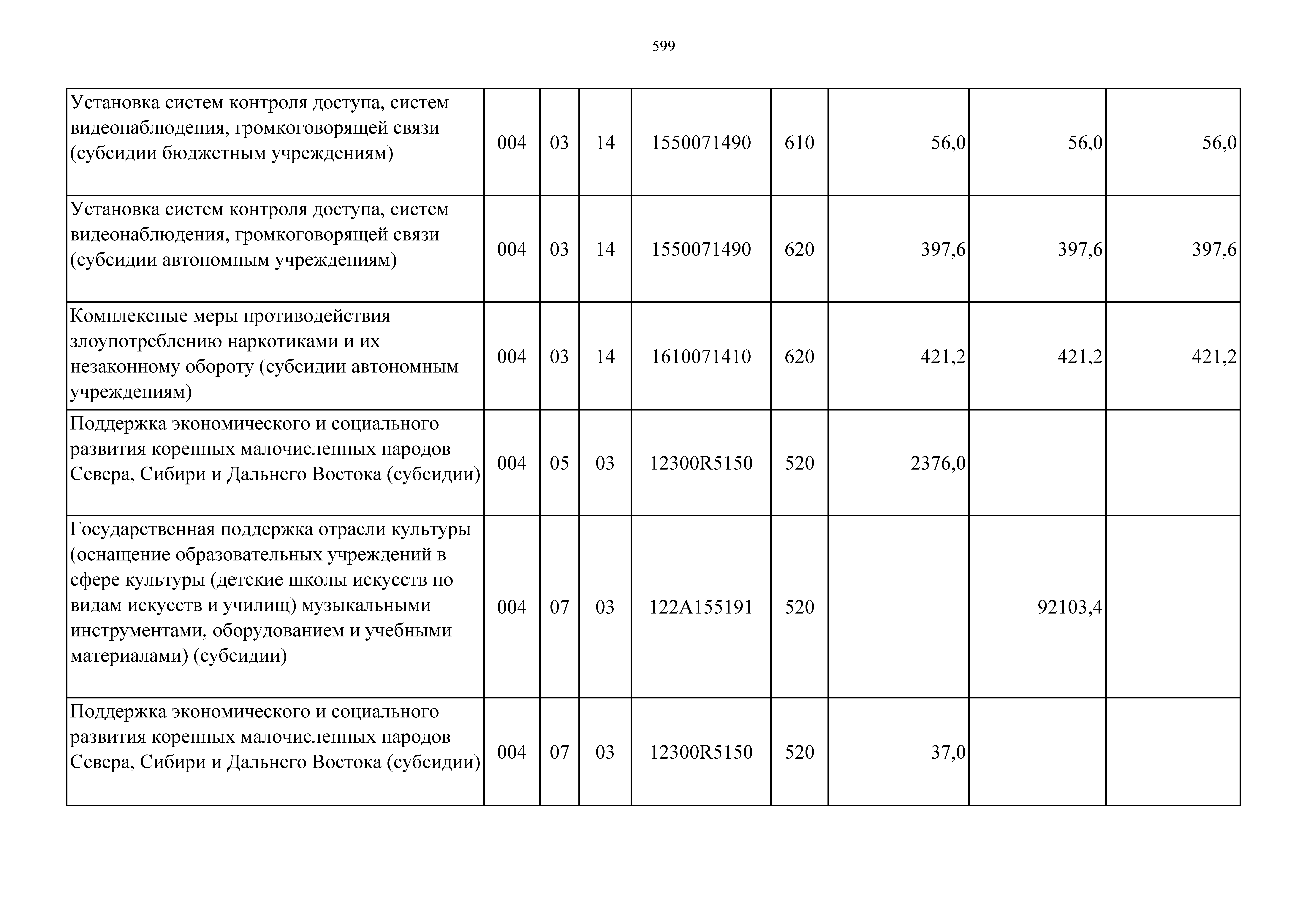
Закон Кемеровской области - Кузбасса от 23.12.2020
№ 160-ОЗ "Об областном бюджете на 2021 год и на плановый период 2022 и 2023 годов"
Номер опубликования: 4200202012290009
Дата опубликования: 29.12.2020
Страница №599 из 1023: