Официальное опубликование правовых актов
ОФИЦИАЛЬНОЕ ОПУБЛИКОВАНИЕ
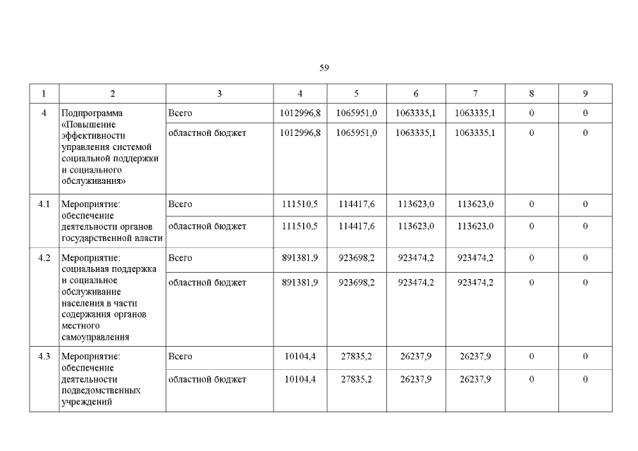
Постановление Правительства Кемеровской области - Кузбасса от 03.11.2020 № 650
"О внесении изменений в постановление Коллегии Администрации Кемеровской области от 25.10.2013 № 468 "Об утверждении государственной программы Кемеровской области - Кузбасса "Социальная поддержка населения Кузбасса" на 2014 - 2024 годы"
Номер опубликования: 4200202011060002
Дата опубликования: 06.11.2020
Страница №59 из 105:
Увеличить