Официальное опубликование правовых актов
ОФИЦИАЛЬНОЕ ОПУБЛИКОВАНИЕ
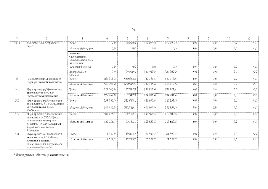
Постановление Правительства Кемеровской области - Кузбасса от 26.10.2020 № 637
"О внесении изменений в постановление Коллегии Администрации Кемеровской области от 24.10.2013 № 458 "Об утверждении государственной программы Кемеровской области – Кузбасса "Жилищно-коммунальный и дорожный комплекс, энергосбережение и повышение энергоэффективности Кузбасса" на 2014 - 2026 годы"
Номер опубликования: 4200202010300001
Дата опубликования: 30.10.2020
Страница №71 из 91:
Увеличить