Официальное опубликование правовых актов
ОФИЦИАЛЬНОЕ ОПУБЛИКОВАНИЕ
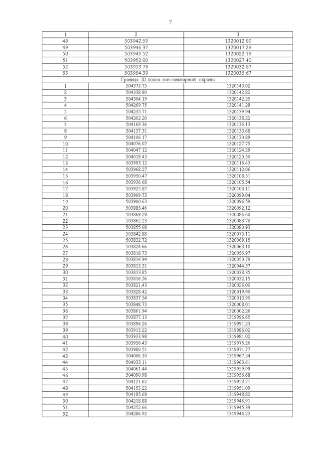
Постановление Правительства Кемеровской области - Кузбасса от 18.05.2020 № 291
"Об установлении границ зон санитарной охраны источников питьевого и хозяйственно-бытового водоснабжения (водозаборных скважин)"
Номер опубликования: 4200202005220003
Дата опубликования: 22.05.2020
Страница №7 из 11:
Увеличить