Официальное опубликование правовых актов
ОФИЦИАЛЬНОЕ ОПУБЛИКОВАНИЕ
Постановление Правительства Кемеровской области - Кузбасса от 10.02.2020 № 53
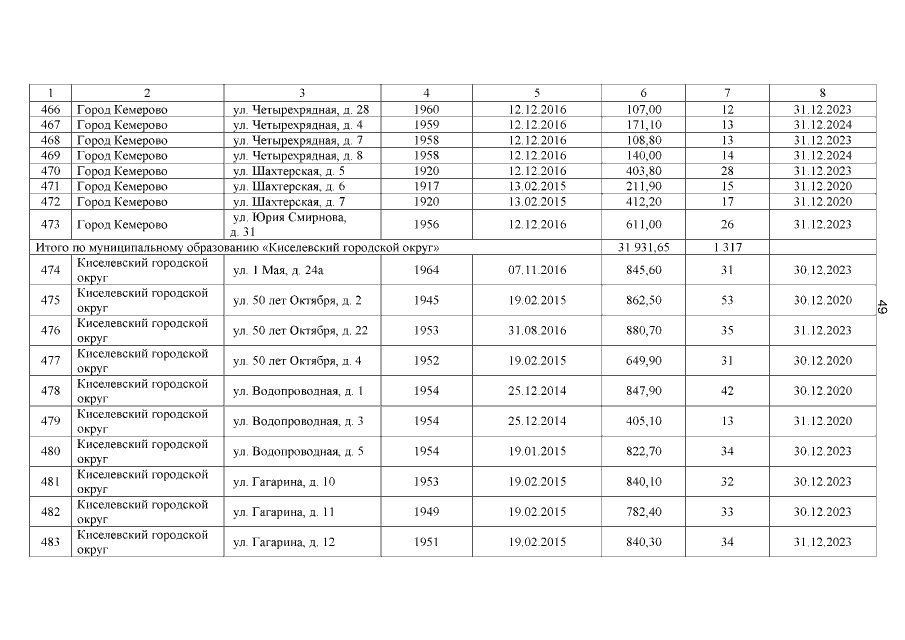
"О внесении изменений в постановление Коллегии Администрации Кемеровской области от 29.03.2019 № 199 "Об утверждении региональной адресной программы "Переселение граждан из многоквартирных домов, признанных до 01.01.2017 в установленном порядке аварийными и подлежащими сносу или реконструкции"на 2019 - 2025 годы"
Номер опубликования: 4200202002140004
Дата опубликования: 14.02.2020
Страница №49 из 144:
Увеличить