Постановление Коллегии Администрации Кемеровской области от 29.03.2019 № 199
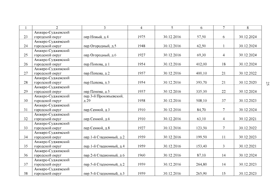
"Об утверждении региональной адресной программы "Переселение граждан из многоквартирных домов, признанных до 01.01.2017 в установленном порядке аварийными и подлежащими сносу или реконструкции" на 2019 - 2025 годы"
"Об утверждении региональной адресной программы "Переселение граждан из многоквартирных домов, признанных до 01.01.2017 в установленном порядке аварийными и подлежащими сносу или реконструкции" на 2019 - 2025 годы"
Номер опубликования: 4200201904030011
Дата опубликования:
03.04.2019
