Официальное опубликование правовых актов
ОФИЦИАЛЬНОЕ ОПУБЛИКОВАНИЕ
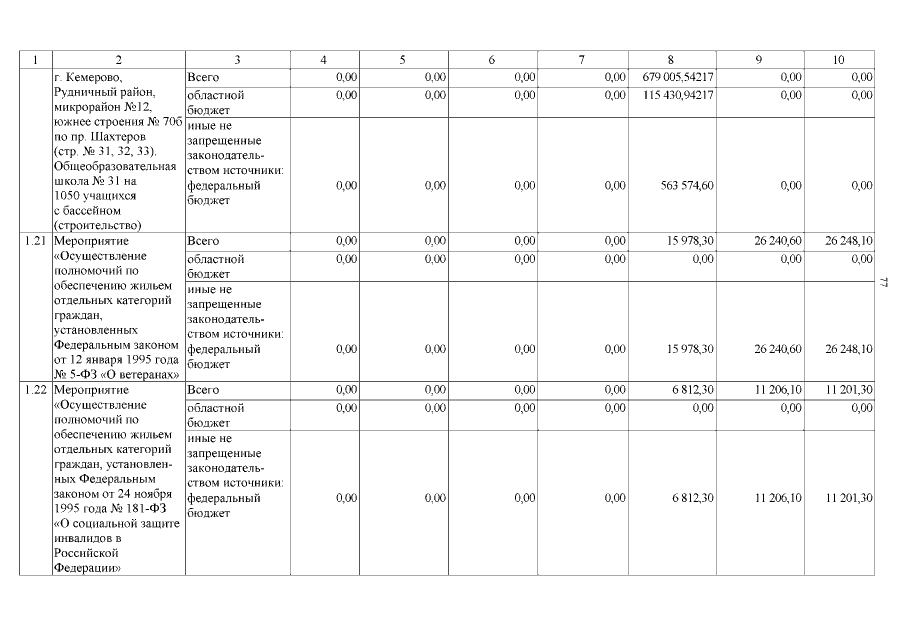
Постановление Коллегии Администрации Кемеровской области от 26.07.2018 № 308
"О внесении изменений в постановление Коллегии Администрации Кемеровской области от 25.10.2013 № 461 "Об утверждении государственной программы Кемеровской области "Жилищная и социальная инфраструктура Кузбасса" на 2014-2020 годы"
Номер опубликования: 4200201807300004
Дата опубликования: 30.07.2018
Страница №77 из 131:
Увеличить