Официальное опубликование правовых актов
ОФИЦИАЛЬНОЕ ОПУБЛИКОВАНИЕ
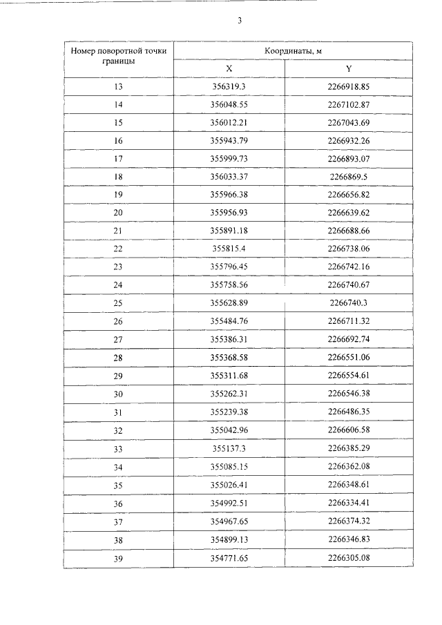
Закон Кемеровской области от 12.07.2018 № 51-ОЗ
"О внесении изменений в Закон Кемеровской области "О перераспределении отдельных полномочий в области градостроительной деятельности между органами местного самоуправления Шерегешского городского поселения и органами государственной власти Кемеровской области"
Номер опубликования: 4200201807170002
Дата опубликования: 17.07.2018
Страница №3 из 9:
Увеличить