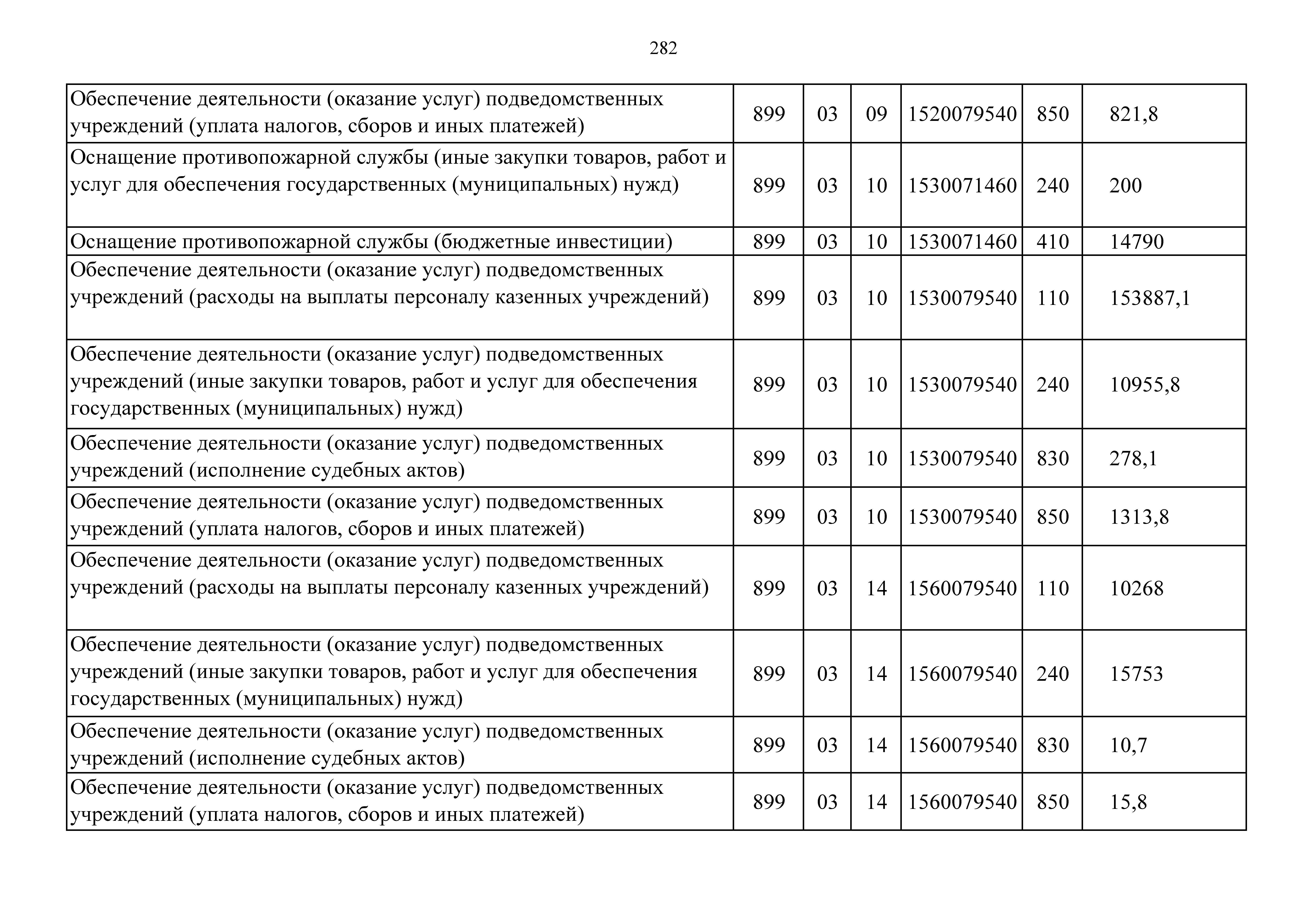
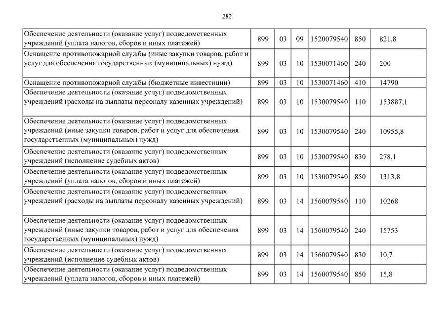
Закон Кемеровской области от 14.06.2018 № 42-ОЗ "Об исполнении областного бюджета за 2017 год"
Номер опубликования: 4200201806180001
Дата опубликования:
18.06.2018
