Официальное опубликование правовых актов
ОФИЦИАЛЬНОЕ ОПУБЛИКОВАНИЕ
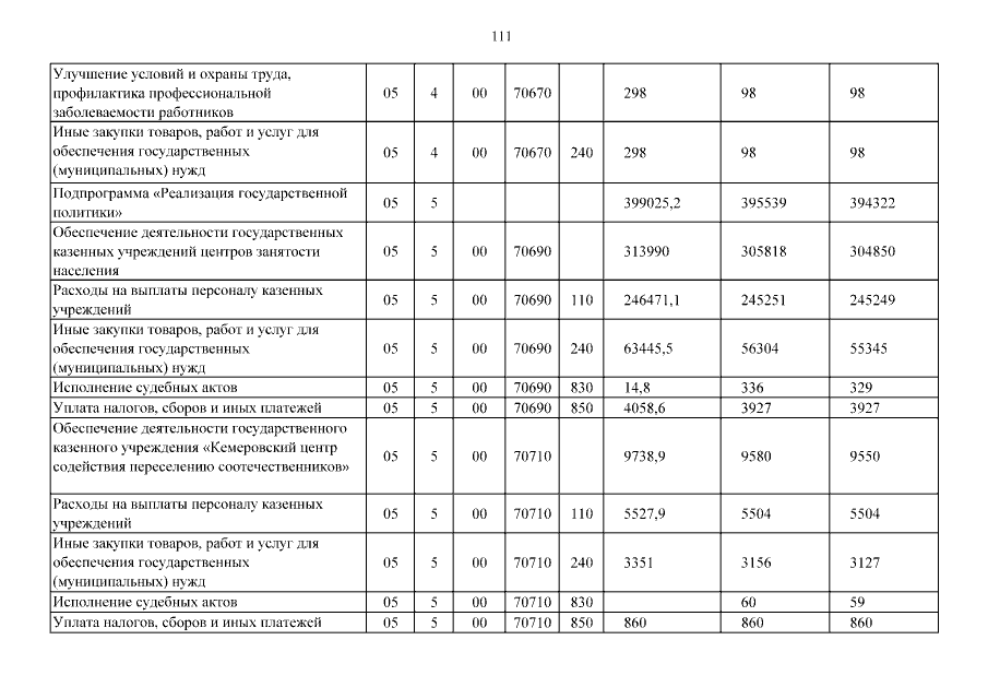
Закон Кемеровской области от 22.12.2017 № 108-ОЗ
"О внесении изменений в Закон Кемеровской области "Об областном бюджете на 2017 год и на плановый период 2018 и 2019 годов"
Номер опубликования: 4200201712270003
Дата опубликования: 27.12.2017
Страница №111 из 479:
Увеличить