Официальное опубликование правовых актов
ОФИЦИАЛЬНОЕ ОПУБЛИКОВАНИЕ
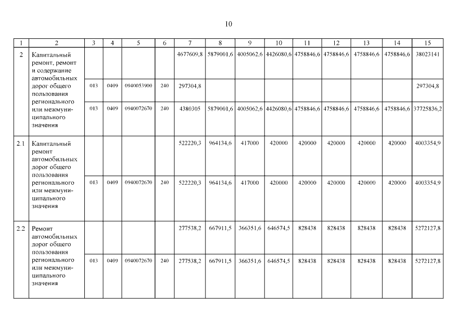
Постановление Коллегии Администрации Кемеровской области от 23.01.2017 № 29
"О внесении изменения в постановление Коллегии Администрации Кемеровской области от 30.06.2015 № 212 "Об утверждении региональной программы "Развитие сети автомобильных дорог общего пользования Кемеровской области" на 2015-2022 годы"
Номер опубликования: 4200201701260003
Дата опубликования: 26.01.2017
Страница №10 из 35:
Увеличить