Официальное опубликование правовых актов
ОФИЦИАЛЬНОЕ ОПУБЛИКОВАНИЕ
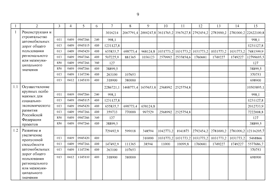
Постановление Коллегии Администрации Кемеровской области от 19.02.2016 № 53
"О внесении изменения в постановление Коллегии Администрации Кемеровской области от 30.06.2015 № 212 "Об утверждении региональной программы "Развитие сети автомобильных дорог общего пользования Кемеровской области" на 2015-2022 годы"
Номер опубликования: 4200201602240010
Дата опубликования: 24.02.2016
Страница №9 из 35:
Увеличить