Официальное опубликование правовых актов
ОФИЦИАЛЬНОЕ ОПУБЛИКОВАНИЕ
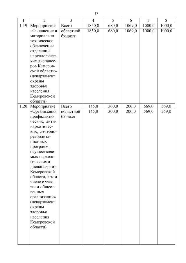
Постановление Коллегии Администрации Кемеровской области от 01.02.2016 № 34
"О внесении изменений в постановление Коллегии Администрации Кемеровской области от 13.09.2013 № 375 "Об утверждении государственной программы Кемеровской области "Обеспечение безопасности населения Кузбасса" на 2014-2018 годы"
Номер опубликования: 4200201602050002
Дата опубликования: 05.02.2016
Страница №17 из 61:
Увеличить