Официальное опубликование правовых актов
ОФИЦИАЛЬНОЕ ОПУБЛИКОВАНИЕ
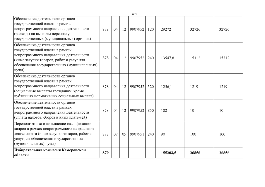
Закон Кемеровской области от 28.12.2015 № 128-ОЗ
"О внесении изменений в Закон Кемеровской области "Об областном бюджете на 2015 год и на плановый период 2016 и 2017 годов"
Номер опубликования: 4200201512300002
Дата опубликования: 30.12.2015
Страница №459 из 718:
Увеличить