Официальное опубликование правовых актов
ОФИЦИАЛЬНОЕ ОПУБЛИКОВАНИЕ
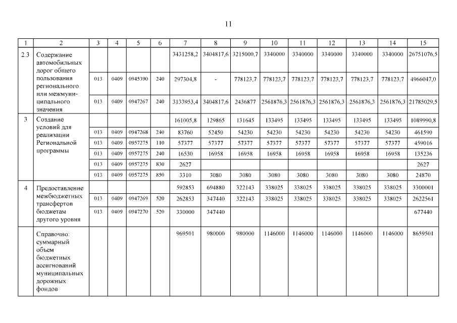
Постановление Коллегии Администрации Кемеровской области от 16.11.2015 № 372
"О внесении изменения в постановление Коллегии Администрации Кемеровской области от 30.06.2015 № 212 "Об утверждении региональной программы "Развитие сети автомобильных дорог общего пользования Кемеровской области" на 2015-2022 годы"
Номер опубликования: 4200201511190001
Дата опубликования: 19.11.2015
Страница №11 из 35:
Увеличить