Официальное опубликование правовых актов
ОФИЦИАЛЬНОЕ ОПУБЛИКОВАНИЕ
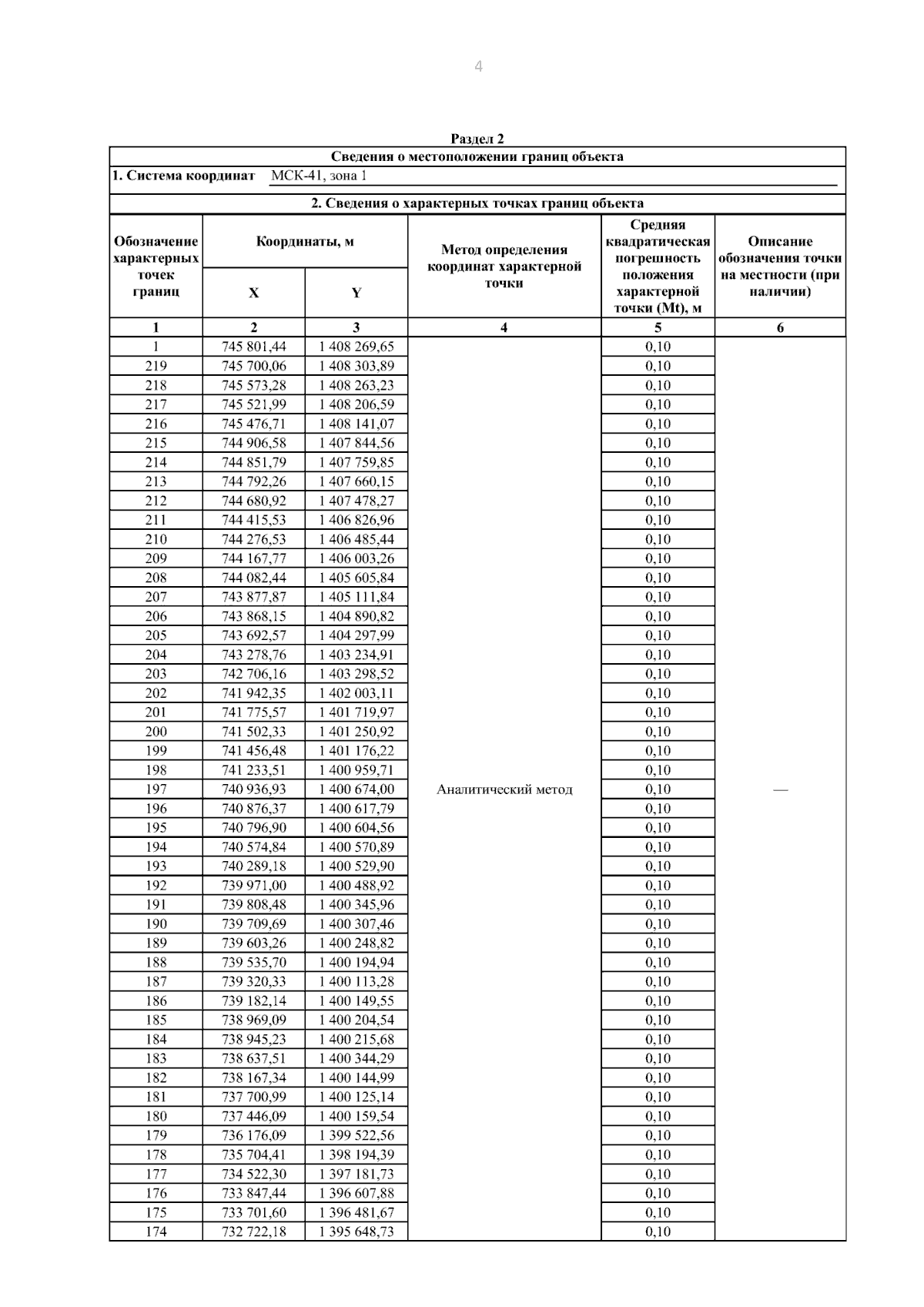
Приказ Министерства имущественных и земельных отношений Камчатского края от 12.05.2025 № 35-Н
"О внесении изменений в приказ Министерства имущественных и земельных отношений Камчатского края от 20.02.2025 № 16-Н "Об установлении публичного сервитута в целях эксплуатации объекта электросетевого хозяйства "Сооружение ВЛЭП 35 кВ на металлических и деревянных опорах Мильково-Шаромы-Пущино" c кадастровым номером 41:06:0030101:443"
(Зарегистрирован 12.05.2025 № 35-Н)
Номер опубликования: 4101202505160004
Дата опубликования: 16.05.2025
Страница №4 из 42:
Увеличить