Официальное опубликование правовых актов
ОФИЦИАЛЬНОЕ ОПУБЛИКОВАНИЕ
Приказ Министерства имущественных и земельных отношений Камчатского края от 28.03.2025 № 23-Н
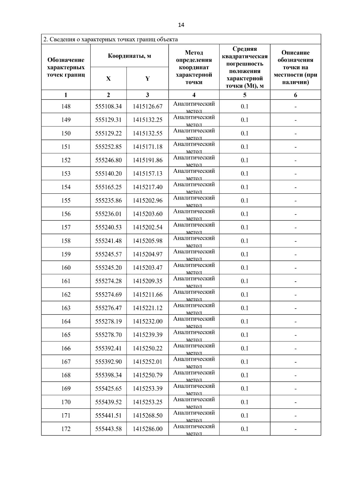
"Об установлении публичного сервитута в целях размещения линейного объекта системы газоснабжения "Межпоселковый газопровод Терминал регазификации СПГ – ТЭЦ-1, ТЭЦ-2"
(Зарегистрирован 28.03.2025 № 23-Н)
Номер опубликования: 4101202504010008
Дата опубликования: 01.04.2025
Страница №14 из 32:
Увеличить